Plus d'infos sur www.lapenseesauvage.org
3 associés
Un atelier maraichage sur environ 2ha qui fait vivre 2 associés, vente 100% AMAP sur une rémunération basée sur le temps de travail. Les amapiens financent 2 revenus à 50h/semaine sur 52 semaines au SMIC soit 5200h/an pour un total de 1500Euros/mois/travailleur soit 36000 euros/an pour les charges de travail des 2 associés pris en charge auxquelles on rajoute toutes les charges de production (eau, location, semences, amortissement du matos........) pour arriver à un chiffre d'affaire prévisionnel annuel de 90000 euros.
Sur nos 2ha, on juge pouvoir nourrir 90 familles du coup on fait 90000/90 et on vend 90 parts de travail (, on ne parle pas de "panier", trop foireux, chaque part correspond également à 1/90ème de notre production donc partage total des risques et des bénéfices)) à 1000 euros. Sur 48 semaines de livraison, ça fait un panier à environ 21 euros par semaine pour en 2011 8kg de légumes semaine en moyenne et en 2012 7,5kg. Ce qui fait globalement des légumes moins cher pour le client que la moyenne vente directe bio rhône-alpes marché (mercuriale CORABIO).
cd. amap Les carottes sauvages www.lescarottessauvages.org
De note côté, on bosse aucun WE, en ce moment on a déjà les 90000 euros du CA 2013 sous la main donc sécurité de revenu maximal, aucun creux de trésorerie. Par contre pas de ferme, tout en location, aucun emprunt non plus mais paysan sans ferme (ce qui est chiant des fois pour organiser des trucs).
Le 3ème revenu de la ferme vient de notre atelier Plantes aromatiques et médicinales (non, on ne vend pas de la beuh mais des tisanes, aromates, fruits et légumes séchés, liqueurs cf. le site) que l'on vend en AMAP également (contrat spécifique), en magasins spécialisés (biocoop, magasins de producteurs...) et en foires, marchés de Noël
Matt, GAEC La Pensée sauvage en Haute-Savoie
Re: Matt, GAEC La Pensée sauvage en Haute-Savoie
Salut, c'est sympa de présenter vos structures. Je suis en parcours installation, j'hesite encore sur le matériel.
Pourriez-vous en dire plus sur le matériel que vous avez?
Superficie des abris, materiel de semis, plantation, récolte, irrigation,stockage.
J'en demande beaucoup
Merci d'avance.
Pourriez-vous en dire plus sur le matériel que vous avez?
Superficie des abris, materiel de semis, plantation, récolte, irrigation,stockage.
J'en demande beaucoup
Merci d'avance.
Re: Matt, GAEC La Pensée sauvage en Haute-Savoie
Pour le matos, on a un tracteur 80chx (on a récup le matos de l'ancienne exploitante) et les outils autoconstruits des Jardins du temple poru bosser en planche permanente (butteuse, cultibutte et vibroplanche cf. vidéos sur le site) + une fraise + une arracheuse à patate Bücher qui a 50 ans (trembleuse, on arrache tout avec, patates, carrottes, panais, poireaux mais lame souleveuse en projet) + une bineuse Bärtschi d'occase avec pilote + 1 vieille planteuse super-prefer + 1 vieille planteuse/sarcleuse/butteuse à patate qu'on mutualise avec des potes (50 ans l'engin, j'enverrai des photos, l'outil parfait) +1serre à plant de 200mcarré avec motteuse nappes chauffante nucléaire (arrgh) et caisson de semis autoconstruit (tout ce matos est mutualisé avec d'autres potes maraichers) 1500mcarré de serres tunnel (il nous en manque, il faudrait compter 10% de sa surface en mode de commercialisation AMAP mais on fait avec) + 1 semoir manuel EBRA (de la grosse merde, il vaut mieux acheter SEMBDNER, 50 ans qu'ils ont les mêmes modèles, fiabilité totale et même prix, pas de disques à changer mais système de languette à trous de différente épaisseur)+bientôt la barre porte outil autoconstruite avec lame souleveuse et butteuse/bineuseN°2+goutte à goutte pour les tunnels+1 pompe pour balancer la flotte dehors +couverture totale (Bird) sur presque 1ha du vieux matos mais qui marche + nos amapiens qui nous font économiser pas mal de matos
On fait épandre le fumier par des potes.
En gros le plus cher c'est le tracteur (qui nous a coûté pas loin de 18000 euros d'occase quand même), tout le reste c'est du vieux matos. On a également investi dans un séchoir qui sèche nos plantes et légumes à froid (notre 4ème associé, la rolls rolls des séchoirs, matos suisse CFT 15000 euros sur lequel on a eu 50% d'aide du Conseil général). Nos immobilisations globales doivent représenter pas loin de 70000 euros (on est 3 associés ce qui fait relativiser le montant), tout a été autofinancé (aucun emprunt, un peu de tune de côté quand on s'est installé + DJA 25000 euros/personne -zone de montagne)
c'était la DJA ou la banque. On a également eu une immense chance de racheter tout le matériel de l'ancienne exploitante. Aujourd'hui, tout en location (bâtiment compris 300euros/mois), 6 parcelles sur 4 communes les plus loin à 20mn de tracteur.
Mutualisation du matos avec des potes pas trop loin. Patates sur les terres de copains éleveurs laitiers (on mutualise les patates à 4 fermes, soit 1ha de patates que l'on gère entièrement nous en échange d'autres services (fumier, ouverture/fermeture/arrosage de la serre à plant...)
Chaque installation est le fruit d'un contexte. Nous on a eu beaucoup de chance et j'ai des associés en or. Ce qui est sûr de mon côté c'est que j'arrête le jour où on bosse plus avec l'AMAP et que j'aurais jamais fait ça tout seul. S'associer c'est vital si tu veux faire autre chose que ça dans ta vie (par exemple passer du temps sur ce forum...)
Voilou hésite pas à poser des questions où à passer nous voir à l'occase
On fait épandre le fumier par des potes.
En gros le plus cher c'est le tracteur (qui nous a coûté pas loin de 18000 euros d'occase quand même), tout le reste c'est du vieux matos. On a également investi dans un séchoir qui sèche nos plantes et légumes à froid (notre 4ème associé, la rolls rolls des séchoirs, matos suisse CFT 15000 euros sur lequel on a eu 50% d'aide du Conseil général). Nos immobilisations globales doivent représenter pas loin de 70000 euros (on est 3 associés ce qui fait relativiser le montant), tout a été autofinancé (aucun emprunt, un peu de tune de côté quand on s'est installé + DJA 25000 euros/personne -zone de montagne)
c'était la DJA ou la banque. On a également eu une immense chance de racheter tout le matériel de l'ancienne exploitante. Aujourd'hui, tout en location (bâtiment compris 300euros/mois), 6 parcelles sur 4 communes les plus loin à 20mn de tracteur.
Mutualisation du matos avec des potes pas trop loin. Patates sur les terres de copains éleveurs laitiers (on mutualise les patates à 4 fermes, soit 1ha de patates que l'on gère entièrement nous en échange d'autres services (fumier, ouverture/fermeture/arrosage de la serre à plant...)
Chaque installation est le fruit d'un contexte. Nous on a eu beaucoup de chance et j'ai des associés en or. Ce qui est sûr de mon côté c'est que j'arrête le jour où on bosse plus avec l'AMAP et que j'aurais jamais fait ça tout seul. S'associer c'est vital si tu veux faire autre chose que ça dans ta vie (par exemple passer du temps sur ce forum...)
Voilou hésite pas à poser des questions où à passer nous voir à l'occase
Re: Matt, GAEC La Pensée sauvage en Haute-Savoie
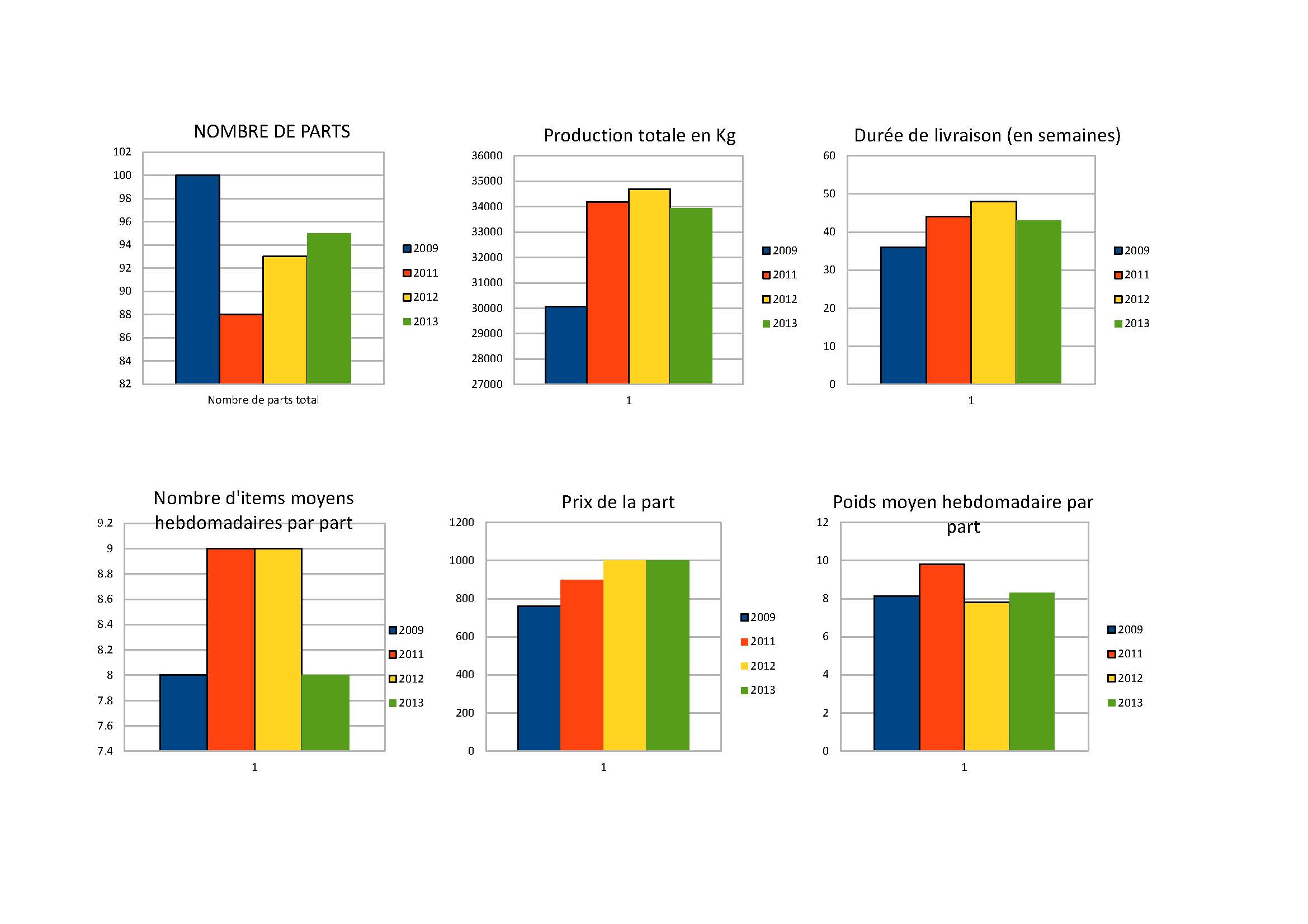
Les résultats de la saison 2013 que nous avons présenté aux adhérents de l'AMAP lors de l'assemblée générale mardi passé. Ce bilan permet de discuter longuement de notre démarche et de creuser tous ensembles sur ce que l'on va faire en 2014.
Pour plus de compréhension des documents, merci de lire les messages précédents qui expliquent notre démarche : 100% AMAP, système hors marché (prise en compte du temps de travail pour établir le montant de la part...)
Hésitez pas à poser des questions (pour avoir des détails de calcul notamment) et à me contacter si vous souhaitez autoconstruire une démarche de ce type
Pour plus de compréhension des documents, merci de lire les messages précédents qui expliquent notre démarche : 100% AMAP, système hors marché (prise en compte du temps de travail pour établir le montant de la part...)
Hésitez pas à poser des questions (pour avoir des détails de calcul notamment) et à me contacter si vous souhaitez autoconstruire une démarche de ce type
Qui est en ligne ?
Utilisateurs parcourant ce forum : Aucun utilisateur inscrit et 1 invité